PAINE #PANCE Pearl – Obstetrics



Question

42yo G2P1001, who is 12-weeks gravid, presents to your office with concerns of public pain and a single episode of vaginal bleeding this morning. Physical examination reveals a gravid uterus with fundal height measured at the level of the umbilicus. Serum beta-hCG was found to be 745,223 mIU/mL. Ultrasound is below.

  1. What are the important features of this case?
  2. What is the condition that is present?
  3. What is the next step in management?

Answer

  1. The important features of this case are advanced maternal age (>35y), fundal height commensurate with a 20-week gestation, and a profoundly elevated beta hCG

2. The ultrasound video shows the classic “snow storm appearance” or “bunches of grapes” which is pathognomonic for hydatidiform mole, a type of gestational trophoblastic disease (GTD)

3. Initial management for GTD is methotrexate due to effectiveness, patient tolerance, and cost.

Ep-PAINE-nym



McRoberts Manuever

Other Known Aliases none

Definitionforced hyperflexion of the hips with applied suprapubic pressure during vaginal delivery

Clinical Significance this is the primary maneuver to attempt to help relieve a shoulder dystocia during vaginal deliveries. Due to the hypermobilty of sacroilliac joint during pregnancy, this allows for rotation of the pelvis and facilitates releasing the stuck shoulder. It has been shown to have a success of close to 90%.

HistoryNamed after William McRoberts, Jr. (1914-2006), an American obstetrician who recieved his medical doctorate from the University of Pittsburgh in 1940. He would go on to have a modest career in obstetrics culminating in Professor and Chief of Obstetrics at the University of Texas Medical School and Hermann Memorial Hospital in Dallas, TX. It was here where he his reputation as a teacher flourished and where he taught his eponymous maneuver for shoulder dystocia for over 40 years. As a testament to his teaching and a gift on retirement in 1982, two of his residents published an article naming this maneuver after their teacher and mentor.


References

  1. Firkin BG and Whitwirth JA.  Dictionary of Medical Eponyms. 2nd ed.  New York, NY; Parthenon Publishing Group. 1996.
  2. Bartolucci S, Forbis P.  Stedman’s Medical Eponyms.  2nd ed.  Baltimore, MD; LWW.  2005.
  3. Yee AJ, Pfiffner P. (2012).  Medical Eponyms (Version 1.4.2) [Mobile Application Software].  Retrieved http://itunes.apple.com.
  4. Whonamedit – dictionary of medical eponyms. http://www.whonamedit.com
  5. Up To Date. www.uptodate.com
  6. Gonik B, Stringer CA, Held B. An alternate maneuver for management of shoulder dystocia. Am J Obstet Gynecol. 1983; 145(7):882-4. [pubmed]

PAINE #PANCE Pearl – Obstetrics



Question

42yo G2P1001, who is 12-weeks gravid, presents to your office with concerns of public pain and a single episode of vaginal bleeding this morning. Physical examination reveals a gravid uterus with fundal height measured at the level of the umbilicus. Serum beta-hCG was found to be 745,223 mIU/mL. Ultrasound is below.

  1. What are the important features of this case?
  2. What is the condition that is present?
  3. What is the next step in management?

Ep-PAINE-nym



Zavanelli Manuever

Other Known Aliases cephalic replacement, Gunn-Zavenelli-O’Leary Manuever

Definitionreplacement of the fetal head back into the uterus followed by immediate cesarean delivery

Clinical Significance this is a controversial, last resort maneuver to a shoulder dystocia and involves rotating the head back to an occiput anterior position, flexing the head , and pushing it as far cephalad as possible. The other hand can be used depress the perineum to relieve pressure on the umbilical cord. Although rarely used, single case reports do show a high rate of success.

HistoryNamed after William Zavanelli (1926- ), an American obstetrician from California who received his medical doctorate from College of Osteopathic Physicians and Surgeons in Los Angeles in 1957. He would go on to have a modest career until 1978 when he performed his eponymous maneuver followed by a successful cesarean delivery. His partner wanted to publish the results immediately, but Zavanelli wanted to wait to see if there were any developmental issues with the child. After seven years, the case report was published. Of note, this manuever was performed 2 years prior by Gunn and his case report was published later in 1985 refuting the eponymous naming.


References

  1. Firkin BG and Whitwirth JA.  Dictionary of Medical Eponyms. 2nd ed.  New York, NY; Parthenon Publishing Group. 1996.
  2. Bartolucci S, Forbis P.  Stedman’s Medical Eponyms.  2nd ed.  Baltimore, MD; LWW.  2005.
  3. Yee AJ, Pfiffner P. (2012).  Medical Eponyms (Version 1.4.2) [Mobile Application Software].  Retrieved http://itunes.apple.com.
  4. Whonamedit – dictionary of medical eponyms. http://www.whonamedit.com
  5. Up To Date. www.uptodate.com
  6. Sandberg EC. The Zavanelli maneuver: a potentially revolutionary method for the resolution of shoulder dystocia. Am J Obstet Gynecol. 1985;152(4):479-84 [link]
  7. O’Leary J, Gunn D. Cephalic replacement for shoulder dystocia. Am J Obstet Gynecol. 1985; 153(5):592-3. [pubmed]

Ep-PAINE-nym



Special thanks to Morgan Bechtle, PA-S, 2nd year clinical student from the Drexel University PA Program, who did the leg work on this eponym



APGAR Score

Other Known Aliasesnone

Definitionmedical rating system used to evaluate the condition of a newborn immediately after birth.

Clinical Significance first presented in 1952, it is a method for evaluating the status of a newborn and it’s response to resuscitation immediately after birth. It consists of five major criteria-heart rate, respiratory rate, muscle tone, reflex response, and color- which are observed and given a score of 0, 1, or 2 points. Today the test is performed at one minute and five minutes after birth. Neonates with a score of 7-10 generally require no further intervention, with lower scores indicating the possible need for assisted respiration.

HistoryNamed after Virginia Apgar (1909-1974), who was a doctor at New York-Presbyterian and the first woman to become a full professor at Columbia University College of Physicians and Surgeons. She spent most of her career studying obstetrical anesthesia and its effect on the newborn. As a young doctor, Apgar was appalled by the treatment of premature, apneic babies. The practice at the time was to list apneic or malformed newborns as stillborn and place them out of sight to die. Outraged by this practice, Dr. Apgar developed a method that would ensure the observation and documentation of the true condition of each newborn during the first minute of life. The Apgar score was first published in 1953 in a paper titled “A Proposal for a New Method of Evaluation of the Newborn Infant” in which she highlighted the need for a “grading system of newborn infants [that can be used] as a basis for discussion and comparison of obstetric practices, types of maternal pain relief, and the effects resuscitation”. Later, her research went on to show that lower Apgar scores are associated with higher neonatal morbidity and mortality.


References

  1. Firkin BG and Whitwirth JA.  Dictionary of Medical Eponyms. 2nd ed.  New York, NY; Parthenon Publishing Group. 1996.
  2. Bartolucci S, Forbis P.  Stedman’s Medical Eponyms.  2nd ed.  Baltimore, MD; LWW.  2005.
  3. Yee AJ, Pfiffner P. (2012).  Medical Eponyms (Version 1.4.2) [Mobile Application Software].  Retrieved http://itunes.apple.com.
  4. Whonamedit – dictionary of medical eponyms. http://www.whonamedit.com
  5. Up To Date. www.uptodate.com
  6. Changing the face of medicine. U.S. National Library of Medicine. Retrieved from https://cfmedicine.nlm.nih.gov/physicians/. Updated June 3, 2015. Accessed May 23, 2020.
  7. McKee-Garrett, T. Overview of the routine management of the healthy newborn infant. UpToDate. Retrieved from https://www.uptodate.com/contents/overview-of-the-routine-management-of-the-healthy-newborn-infant?search=apgar%20score&sectionRank=1&usage_type=default&anchor=H3&source=machineLearning&selectedTitle=1~53&display_rank=1#H3. Updated May 15, 2020. Accessed 26, 2020.
  8. Fernandes, C. Neonatal resuscitation in the delivery room. UpToDate. Retrieved from https://www.uptodate.com/contents/neonatal-resuscitation-in-the-delivery-room?search=apgar%20score&topicRef=5068&source=see_link#H2429918249. Updated April 10, 2020. Accessed May 26, 2020.
  9. Apgar score: Signs and definitions. Anesthesiology. 2005 April; 102: 885-857. Retrieved from https://anesthesiology.pubs.asahq.org/article.aspx?articleid=1942027.
  10. It happened here: The Apgar score. New York-Presbyterian. Retrieved from https://healthmatters.nyp.org/apgar-score/. Accessed May 26, 2020.
  11. Apgar, virginia. A Proposal for a new method of evaluation of the newborn infant. Current Researches in Anesthesia and Analgesia 32 (1953): 260-267. https://profiles.nlm.nih.gov/spotlight/cp/catalog/nlm:nlmuid-101584647X152-doc. Accessed May 30, 2020. 
  12. Finster M, Wood M. The Apgar score has survivied the test of time. Anesthesiology. 2005 April; 102: 885-857. https://anesthesiology.pubs.asahq.org/article.aspx?articleid=1942027
  13. Library of Congress, Prints and Photographs Division, New York World Telegram & Sun Collection. Retrieved from https://cfmedicine.nlm.nih.gov/physicians/biography_12.html.9.       The Mount Holycoke College Archives and Special Collections. Retrieved from https://cfmedicine.nlm.nih.gov/physicians/biography_12.html.

Ep-PAINE-nym



Stein-Leventhal Syndrome

Other Known AliasesPolycystic Ovarian Syndrome (PCOS)

Definitionclinical syndrome of hyperandrogenism, oligoanovulation, and polycystic ovaries.

Clinical Significance PCOS is the most common cause of female infertility and should be investigated in women as part of the infertility workup. Women with PCOS can also have acne, hirsutism, menstrual irregularity, virilization, obesity, insulin-resistance, and metabolic syndrome. It is typically diagnosed in adolescents due to the phenotypic syndromic features.

HistoryNamed after Irving F. Stein, Sr. (1887-1976) and Michael L. Leventhal (1901-1971) and both received their medical doctorates from Rush Medical College in 1912 and 1924 respectively. Both met while practicing at Michael Reese Hospital in early to mid-1900s. They presented a case report of 7 cases of amenorrhea, hirsutism, obesity, and enlarged polycystic ovarias in 1934 at the Central Association of Obstetrics and Gynecologists. They published these findings one year later in 1935 in an article entitled “Amenorrhea associated with bilateral polycystic ovaries” in the Americal Journal of Obstetrics and Gynecology. It should be noted that Russian gynecologist S.K. Lesnoy first described polycystic ovaries in 1928, but not the complete syndrome.


References

  1. Firkin BG and Whitwirth JA.  Dictionary of Medical Eponyms. 2nd ed.  New York, NY; Parthenon Publishing Group. 1996.
  2. Bartolucci S, Forbis P.  Stedman’s Medical Eponyms.  2nd ed.  Baltimore, MD; LWW.  2005.
  3. Yee AJ, Pfiffner P. (2012).  Medical Eponyms (Version 1.4.2) [Mobile Application Software].  Retrieved http://itunes.apple.com.
  4. Whonamedit – dictionary of medical eponyms. http://www.whonamedit.com
  5. Up To Date. www.uptodate.com
  6. Baskett TF. Eponym and Names in Obstetrics and Gynaecology. 3rd Ed. Cambridge, UK. Cambridge University Press. 2019.
  7. Powell JL. Powell’s Pearls: Irving Freiler Stein, MD (1887-1976) and Michael Leo Leventhal (1901-1971). FPMRS. 2008;14(5):413-414. [article]
  8. Stein IF, Leventhal ML. Amenorrhea associated with bilateral polycystic ovaries. AJOG. 1935;29(2):181-191. [article]

PAINE #PANCE Pearl – Women’s Health



Question

31yo, G0P000, is being evaluated in your clinic for infertility. She and her partner have been trying for 3 years to conceive and have not been successful. She report her partner has already had a semen analysis performed and was within normal limits. She reports a regular menstrual cycle, with little to no variability, and normal flow. She has not been on any form of contraception for 3 years. The rest of her past medical history and family history is benign.

What are types of studies that can be used in her infertility work-up?



Answer

  1. Assessment of Ovulatory Function
    • Mid-luteal phase serum progesterone typically drawn seven days prior to the start of her menstrual cycle
      • > 3 ng/mL = recent ovulation
  2. Assessment of Ovarian Reserve
    • Anti-müllerian hormone (AMH) reflects the size of the follicle pool
    • Clomiphene citrate challenge test (CCCT)
      • 100mg clomiphene on day 5-9 and measurement of day 3 and day 10 FSH and day 3 estradiol
  3. Assessment of Fallopian Tube Patency
    • Hysterosalpingogram
  4. Assessment of Uterine Cavity
    • can be assessed via HSG, but can also be assessed with a saline-infusions sonohysterography or hysteroscopy

Ep-PAINE-nym



Naegele’s rule

Other Known Aliasesestimated date of delivery

Definitionestimation of delivery assuming a 280 day gestation period and is calculated from the FIRST day of the last menstrual cycle by adding 1 year, subtracting 3 months, and adding 7 days.

Clinical Significance this is a quick and easy estimation of the delivery date for planning purposes and is used in most apps and delivery wheels. In the age of ease of ultrasound, direct measurement is becoming the standard, but this is still a very important calculation to remember.

HistoryNamed after Franz Karl Naegele (1778-1851), who was a German obstetrician and received his medical doctorate from the the University of Bamberg. He had a very successful practice in Barmen, Germany, before he went on to become full professor of obstetrics in 1810 at the University of Heidelberg. He first mentioned his rule, and credited Hermann Boerhaave who first mentioned it in 1744, in a manuscript in 1812, but was given the eponym by Gunning Bedford, professor of obstetrics and diseases of Women and Children at the University of New York, in 1872.


References

  1. Firkin BG and Whitwirth JA.  Dictionary of Medical Eponyms. 2nd ed.  New York, NY; Parthenon Publishing Group. 1996.
  2. Bartolucci S, Forbis P.  Stedman’s Medical Eponyms.  2nd ed.  Baltimore, MD; LWW.  2005.
  3. Yee AJ, Pfiffner P. (2012).  Medical Eponyms (Version 1.4.2) [Mobile Application Software].  Retrieved http://itunes.apple.com.
  4. Whonamedit – dictionary of medical eponyms. http://www.whonamedit.com
  5. Up To Date. www.uptodate.com
  6. Baskett TF. Eponym and Names in Obstetrics and Gynaecology. 3rd Ed. Cambridge, UK. Cambridge University Press. 2019.
  7. Baskett TF, Nagele F. Naegele’s Rule: a reappraisal. BJOG. 200;107(1):1433-1435.
  8. Naegele FC. Erfahrungen und Abhandlungen aus dem Gebiethe der Krankheiten des Weiblichen Geschlechtes. Nebst Grundziigen einer Methodenlehre der Geburtshiilfe. Mannheim: Loeffler, 1812: 280-281
  9. Bedford GS. The Principles and Practice of Obstetrics. 5th Edition. New York William Wood and Co, 1872:306.

#56 – Polycystic Ovarian Syndrome



***LISTEN TO THE PODCAST HERE***



Background

  • First described by Stein and Leventhal in 1935
  • The most common cause of infertility in women
    • Up to 30% of women seeking infertility treatment
  • Affects 6-12% of US women ( or 1 in 10)  of reproductive age
  • Increases life-time risk of developing:
    • Obesity
    • DMII
    • Cardiovascular disease
    • Breast and endometrial cancers

Pathophysiology

  • Two-Hit Hypothesis
    • First – genetic predisposition
      • Heritable traits and gene variations affecting ovarian function, insulin resistance, obesity, and DMII
        • 25% of patients with PCOS have a mother with PCOS
      • Congenital virilization
        • Congenital adrenal hyperplasia
      • Disturbed fetal nutrition
    • Second – provocative trigger
      • Insulin-resistant hyperinsulinemia
      • Puberty
  • This then leads to the classic pathology of:
    • Functional ovarian hyperandrogenism
    • Hyperinsulinism and obesity
    • Luteinizing hormone (LH) excess
Up-to-Date

Definition and Diagnostic Criteria

  • Adults
    • Rotterdam Criteria
      • 2 of 3 following criteria:
        • Anovulation
        • Hyperandrogenism
        • Polycystic ovaries
Up-to-Date
  • Adolescents
    • Developed in 2015 and consist of otherwise unexplained persistent hyperandrogenic oligo-anovulatory menstrual abnormality based on age and stage appropriate standards
Up-to-Date

Clinical Features

  • Cutaneous Hyperandrogenism
    • Hirsutism
      • Graded by Ferriman-Gallwey scoring system, which quantitates the extent of hair growth in androgen sensitive areas
        • Hirsutism is defined as a score ≥ 8
    • Acne
      • Moderate comedonal acne or severe inflammatory acne suggests hyperandrogenemia
  • Ovarian Findings
    • Menstrual
      • Primary Amenorrhea
        • Lack of menarch by 15 years of age or > 3 years after onset of breast development
      • Secondary Amenorrhea
        • > 90 days without a menstrual cycle after previously menstruating
      • Oligomenorrhea
        • During the first five years after menarache:
          • Year 1 – < 4 cycles in the year
          • Year 2 – < 6 cycles in the year
          • Year 3-5 – < 8 cycles in the year
            • Missing ≥ 4 cycles in the year
          • Year 6+ – < 9 cycles in the year
            • Missing ≥ 3 ycles in the year
      • Excessive uterine bleeding
        • More frequently than every 21 days or excessive bleeding
          • PCOS is the most common cause of excessive uterine bleeding in adolescents
    • Polycystic ovaries
  • Obesity
    • Chief complaint in up to 20% of PCOS patients
  • Sleep apnea or
  • Nonalcoholic fatty liver
  • Manifestations of insulin resistance
    • Acanthosis nigricans
    • Metabolic syndrome
      • Up to 25% of PCOS patient

Diagnostic Work-Up

  • Need to be performed at a lab with highly sensitive assay capability
  • If using hormonal OCP, need to be stopped 2-3 months before testing
    • Due to suppression of testosterone
  • Testosterone (1st step)
    • Should be early morning as testosterone levels fall by the afternoon
    • Serum total testosterone
      • Normal – 40-60 ng/dL
      • > 150 ng/dL is diagnostic
    • Serum free testosterone
      • More sensitive than total, but are less standardized
      • Only reliable if calculated from the total testosterone
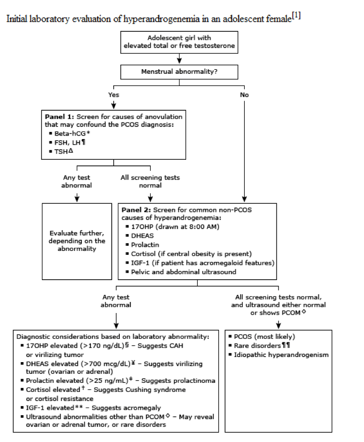
  • Endocrine Screening Panel (2nd step if elevated testosterone)
    • Beta-hCG
    • FSH/LH
      • Slightly elevated LH with a slightly decreased FSH is characteristic of PCOS
      • Markedly elevated FSH = primary hypogonadism
      • Markedly decreased LH = secondary hypogonadism
    • TSH
  • Screening for Common non-PCOS causes of hyperandrogenism (3rd step if endocrine screening is normal)
    • 17-hydroxyprogesterone (17OHP)
      • Drawn at 0800 and with the patient either amenorrheic or within the fist 10 days after the start of her menstrual cycle
      • > 170 ng/dL suggests CAH
    • DHEAS
      • > 700 mcg/dL suggests adrenal tumor
    • Prolactin
      • Hyperprolactinemia can causes gonadotropin deficiency
      • > 25 ng/m: suggests prolactinoma
    • Serum cortisol
      • < 10 mcg/dL rules out Cushing syndrome
    • Insulin-like grown factor (IGF-1)
      • Rule out acromegaly
  • Other tests
    • Chronic disease panel
      • CBC, ESR/CRP, CMP
    • Lipid Panel (for adults)
      • LDL, HDL, triglycerides
  • Transvaginal ultrasound of ovaries
    • Increased overall size
    • Increased number of distinct follicles
      • ≥ 6 is diagnostic

Treatment

  • Adolescents
    • Antiandrogen
      • Estrogen-progestin combination OCPs
        • Can also use GnRH agonist (leuprolide)
      • Targeted antiandrogen therapy (if no improvement after 6 months)
        • Spironolactone
        • Finasteride
    • Insulin resistance
      • Biguanide (metformin)
      • Thiazolidinediones (pioglitazone, rosiglitazone)
  • Adults
    • Same as above, but add:
      • Dyslipidemia therapy

The Cottage Physician (1893)



References

  1. Stein IF, Leventhal ML.  Amenorrhea associated with bilateral polycystic ovaries.  AJOG. 1935;29(2):181-191 [article]
  2. Azziz R, Woods KS, Reyna R, Key TJ, Knochenhauer ES, Yildiz BO. The prevalence and features of the polycystic ovary syndrome in an unselected population. The Journal of clinical endocrinology and metabolism. 2004; 89(6):2745-9. [pubmed]
  3. Franks S, Stark J, Hardy K. Follicle dynamics and anovulation in polycystic ovary syndrome. Human reproduction update. ; 14(4):367-78. [pubmed]
  4. Barthelmess EK, Naz RK. Polycystic ovary syndrome: current status and future perspective. Frontiers in bioscience (Elite edition). 2014; 6:104-19. [pubmed]
  5. Rotterdam ESHRE/ASRM-Sponsored PCOS Consensus Workshop Group. Revised 2003 consensus on diagnostic criteria and long-term health risks related to polycystic ovary syndrome. Fertility and sterility. 2004; 81(1):19-25. [pubmed]
  6. Azziz R, Carmina E, Dewailly D, et al. The Androgen Excess and PCOS Society criteria for the polycystic ovary syndrome: the complete task force report. Fertility and sterility. 2009; 91(2):456-88. [pubmed]
  7. Rosenfield RL. The Diagnosis of Polycystic Ovary Syndrome in Adolescents. Pediatrics. 2015; 136(6):1154-65. [pubmed]
  8. Witchel SF, Oberfield S, Rosenfield RL, et al. The Diagnosis of Polycystic Ovary Syndrome during Adolescence. Hormone research in paediatrics. 2015; [pubmed]
  9. Martin KA, Anderson RR, Chang RJ, et al. Evaluation and Treatment of Hirsutism in Premenopausal Women: An Endocrine Society Clinical Practice Guideline. The Journal of clinical endocrinology and metabolism. 2018; 103(4):1233-1257. [pubmed]
  10. Maslyanskaya S, Talib HJ, Northridge JL, Jacobs AM, Coble C, Coupey SM. Polycystic Ovary Syndrome: An Under-recognized Cause of Abnormal Uterine Bleeding in Adolescents Admitted to a Children’s Hospital. Journal of pediatric and adolescent gynecology. 2017; 30(3):349-355. [pubmed]
  11. Helvaci N, Karabulut E, Demir AU, Yildiz BO. Polycystic ovary syndrome and the risk of obstructive sleep apnea: a meta-analysis and review of the literature. Endocrine connections. 2017; 6(7):437-445. [pubmed]
  12. Elhassan YS, Idkowiak J, Smith K, et al. Causes, Patterns, and Severity of Androgen Excess in 1205 Consecutively Recruited Women. The Journal of clinical endocrinology and metabolism. 2018; 103(3):1214-1223. [pubmed]
  13. Pau CT, Keefe C, Duran J, Welt CK. Metformin improves glucose effectiveness, not insulin sensitivity: predicting treatment response in women with polycystic ovary syndrome in an open-label, interventional study. The Journal of clinical endocrinology and metabolism. 2014; 99(5):1870-8. [pubmed]

PAINE #PANCE Pearl – Women’s Health



Question

31yo, G0P000, is being evaluated in your clinic for infertility. She and her partner have been trying for 3 years to conceive and have not been successful. She report her partner has already had a semen analysis performed and was within normal limits. She reports a regular menstrual cycle, with little to no variability, and normal flow. She has not been on any form of contraception for 3 years. The rest of her past medical history and family history is benign.

What are types of studies that can be used in her infertility work-up?